
The mil-dot reticle is in increasingly widespread use among long-range rifle shooters as a means of estimating the range to the target. This estimation is critical in order to correct for the varying degree of projectile drop (and/or wind drift) at different ranges and thereby enable the shooter to hit the target. With training and familiarization, an experienced marksman can accurately estimate range to target by using this type of reticle and by making the appropriate calculations. Originally fitted to telescopic sights designed for military (and later police) use, the mil-dot reticle has seen growing acceptance in the civilian sector among target shooters and hunters.
By using a set of fixed references within the scope, the shooter can compare the size of the target, a portion of the target, or a nearby reference target to a series of precisely sized dots and spacing. By estimating the size of the target or nearby reference and noting the number of mils that equal the size of the target, the shooter can determine the range to the target by applying a formula (size of target in yards multiplied by 1000, divided by size of target in mils, equals range to target in yards), usually done with the help of a conventional hand held electronic calculator.

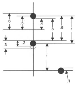
Above is an illustration of the increment into which the Round, US Army-Style Mildot reticle can be broken down.

Above is an illustration of the increment into which the Oval, USMC-Style Mildot Reticle reticle can be broken down.

Just like a precision shot, our cookies help keep Mildot.com running right on target.